Probabilities and odds express the same information in different ways. In science and economics, people tend to think in terms of probabilities, while in gambling, people tend to think in terms of odds.
Probabilities express the likelihood of an event occurring as a percentage of all possible events occurring. Odds express the number of times an event will occur with relation to the number of times the event will not occur.
Imagine we have five marbles in a bowl—we have three red marbles and two blue marbles, as shown below.
If we randomly select one marble, the probably of picking red can be expressed as:
Where: Pr = Probability of picking a red marble Nr = Number of red marbles Nb = Number of blue marbles
In the above example, the equation evaluates as follows:
Thus, the probability of randomly picking a red marble is 3/5 or 0.6 or 60%.
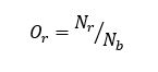
The same information can be expressed as odds:
Where: Or= Odds of picking a red marble
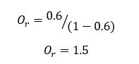
This evaluates as follows:
The odds of picking red can be expressed as 3:2. In the case of betting however, odds are typically expressed as the odds of losing, rather than the odds of winning. In other words, it is generally described as the odds against an event occurring. In this case, the odds of not picking red are 2:3. If, for example, the odds are expressed as 9:1 for a particular team, the interpretation is that the team will likely lose nine times for each one win.
It is also easy to convert from probabilities to odds and vice versa. The conversion of probability to odds is calculated as:
In the above example, this evaluates as:
If we return to the original calculation above, the odds of picking red are expressed as 3/2, which is equivalent to 1.5 or 1.5:1.
We can therefore convert from odds to probability as:
People often use the terms ‘probability’ and ‘odds’ interchangeably. While these concepts ultimately can be used to describe the same phenomenon, they have distinct mathematical formulations.
Since joining Itron in 2000, Mr. Simons has developed, implemented and supported numerous day-ahead and real-time forecasting systems for Independent System Operators (ISOs), retailers, distribution companies, cooperatives and wholesale generators, including NYISO, IESO, TVA, Consolidated Edison, NRG Energy, PSEG and Vectren.
Mr. Simons has implemented systems to support budget & long-term forecasting, weather-normalization, and unbilled-energy estimation for municipal utilities, electric cooperatives and investor-owned utilities, including Ameren, Entergy and FirstEnergy. Mr. Simons has developed forecasting and analysis solutions for municipal water utilities and has developed several customized applications and models for forecasting revenues, managing bills, weather-normalizing sales and estimating unbilled energy. Mr. Simons has reconfigured, streamlined and deployed load research systems at multiple utilities including United Illuminating, Indianapolis Power & Light, TECO Energy, NVEnergy, Colorado Springs Utilities and Lincoln Electric. Mr. Simons has implemented real-time natural gas forecasting systems to support operations at Vectren Energy and Consolidated Edison. In 2019 and 2020, Mr. Simons was a key team-member on a well-publicized report for NYISO to analyze long-term weather trends across the New York state.
A paragraph is a self-contained unit of a discourse in
writing dealing with a particular point or idea. Paragraphs are
usually an expected part of formal writing, used to organize longer
prose.
Region SelectorSelect a region and country for the best experience.